
Aurora corporation
Welcome on board on the New Dawn
TEASER
40 Boulevard de la Marquette
31 000 Toulouse, France
OUR TEAM
Aurora corporation
Aurora Corporation was created by space lovers to make your dreams come true.

Members

GOUAULT Quentin
Computer Aided Design (CAD) engineer

PICAUD Benoît
Computer Aided Design (CAD) and assembly engineer

PODOLSKY Théo
Computer Aided Design (CAD) engineer

TA DAC Anna
CAD and communication engineer

TELLO ADAM Esteban
Design and communication engineer
Our partners
But also: Vesta, Ipsa'bitat
OUR PROJECT
Aurora Corp proudly presents to you THE NEW DAWN - an interplanetary space vehicule with the sole purpose of getting us to step foot on Mars by 2023.
The New Dawn
The New Dawn is a space habitat which will allow travelling though deep space mission.
Our members work in collaboration with four other teams to carry out an interplanetary exploration program called MARS2023, that will allow us to establish a base on Mars.
The final goal of MARS2023 is to design a reusable space system able to send 10 people on Mars with 17 tons of payload for 1M€/pax.The five teams will each work on one of the following part: the launch system, the space ship, the space habitat (made by Aurora Corp), the space port and the space base.
Click here for more details about the New Dawn.
Time before the presentation:
Time before launch:
THE NEW DAWN
Caracteristics
The New Dawn was designed to mix both performance and comfort.
Our space habitat will be sent into orbit in 2023 with the launcher Falcon Heavy from Space X. To optimize our space and mass, Aurora Corp engineers have decided to use the fairing of the payload as the outside structure of the space habitat.
| Mass | 17.845,681 kg |
| Gravity center | Gx: 7,263 / Gy: -9,531 / Gz: 5127,933 |
| Propulsion | Hydrazine and helium |
| Total price | 49.502.811,75 € |
Mass and gravity:

Price per material:

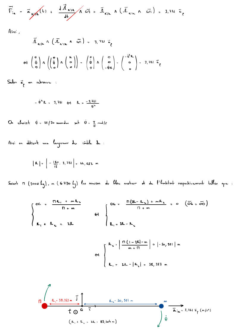
The gravitation was calculated this way:

Conception
Design of the space habitat:

Design of the floors:

Design of a room:

Design of the bathroom:

Our secondary mission
To make the stay on board of the New Dawn more comfortable, Aurora Corp has decided to work with IPS'AMI.IPS'AMI is an association working on the creation of a robot: AMI, meaning "friend" in French. The robots AMI will help with the maintenance of the space ship and will also assist the astronauts during their EVA (Extra-Vehicular Activity).
AMI is able to translate and rotate on its own, it can also hold tools and will be the perfect companion for all your activities.
SHOP
If you would like to shop any of the following items, please contact us here:




